√画像をダウンロード AbV Ci[ J[ {u 256733
Library Explorer S Passport Activities Ppt Download
AbV C"i[ J[ {u
AbV C"i[ J[ {u-


Python Create A Caesar Encryption W3resource


J U 30 0 4 14 The Following Reaction Occurs In A Galvanic Cell 2cut Cu2 Cu If


Find A Math U V Math B Math U V Math C Math 2u 3v Math And D Math Frac 1 2 Mathbf V 4 Mathbf U Math Then Sketch Each Resultant Vector Math Mathbf U Mathbf I Mathbf J Mathbf V 2 Mathbf I 3 Mathbf J


Solved 1 Let U A B C D E J K V W X Y Z A Chegg Com


Army List 1394 590 198h G F H 1 Sv R 766a Graham Brown D B 1 Grahamclarke O O S L W Graham Hodg Son Ii Grahame A 31 B I C T D


Amazon Com R1099 Scrabble Word Game Case Cover For Samsung Galaxy S8


Multiple Layer Structure Of Non Abelian Vortex Topic Of Research Paper In Physical Sciences Download Scholarly Article Pdf And Read For Free On Cyberleninka Open Science Hub


To Evaluate The Following Integrals Carry Out These Steps A Sketch The Original Region Of Integration Homeworklib


The Homotopy Perturbation Method For Solving Neutral Functional Differential Equations With Proportional Delays Topic Of Research Paper In Mathematics Download Scholarly Article Pdf And Read For Free On Cyberleninka Open Science Hub


Obfuscated Hello World Program


Fig B 1 Light Propagates With Speed C From The Source Of Download Scientific Diagram


Physics 427 Problem Assignment 8


125 Assignment 1 03 62 125 U Of W Studocu


Circle The Letter That Comes Last In A Z Series Printable Worksheet 5 Smart Kindergarten Kids


J B Rose Florence Rose And Brownie Rose Candies Inc Petitioners V C Ebay


How Do You Find A U V B U V C 2u 3v Given U 3j V 2i Socratic


How To Receive Second Dose Of Covid 19 Vaccine In Duval County Firstcoastnews Com


Typo A B C D E F G H I J K L M N O


A B C D E F G H I J K L M N O P Q R S T U V W X Y Z Galvanized Letter


A B C D E F G H I J K L M N O P Q R S T U V W X Y Z Galvanized Letter Other Home Decor Home Garden


Wsgfpmsrbmjaxm


Python Create A Caesar Encryption W3resource


Cute Animal Alphabet Funny Cartoon Character A B C D E F G H I J K L M N O P Q R S T U V W X Y Z


Elle Shop 予告 8 5 水 に プラン C Go Sporty のpop Up Shopがオープン Milled


Bulletin Pennsylvania Department Of Forestry No 14 16 Forests And Forestry Low B V C T B It B H K W A A A R K Sis E Quot S 9 H O C


A B C D E F G H I J K L M N O P Q R S T U V W X Y Z Galvanized Letter


Cursive Writing Alphabet And Easy Order To Teach Cursive Letters The Ot Toolbox


Amazon Com A B C D E F G H I J K Elemeno P Q R S T U V W X Y Z 11oz Mug Preschool Teacher Coffee Mug


A B C D E F G H I J K L M N O P Q R S T U V W X Y Z Galvanized Letter Other Home Decor Home Garden


Nonlocal Coulomb Interaction And Spin Freezing Crossover As A Route To Valence Skipping Charge Order Npj Quantum Materials


Solved Part B 1 Define A Relation R From A B C To U Chegg Com


Analysis Of Large Graphs Overlapping Communities Ppt Download


Typo A B C D E F G H I J K L M N O P Q R S T U V W X Y Z 3d Neon Fonts Modern Alphabet


Answered For The Vectors U 2 1 3 And V 0 Bartleby


Letter Formation The Ot Toolbox


Vectors And The Geometry Of Space Monografias Com


Profiles Of The Velocities U 0 A U 1 B And V C For Different Download Scientific Diagram


Vector Illustration Cute Animal Alphabet Funny Cartoon Character A B C D E F G H I J K L M N O P Q R S T U V W


Minutes Of The Annual Convention Of The United Evangelical Lutheran Synod Of North Carolina Serial K Cn1 Cq Tf 5 Gt 60 O 5 3t3 J D 50 A 1a1


Oscillation Criteria Based On A New Weighted Function For Linear Matrix Hamiltonian Systems Topic Of Research Paper In Mathematics Download Scholarly Article Pdf And Read For Free On Cyberleninka Open Science


Page 85 贸促新观察19


Solved Given Vectors U And V Find A 4u B 4u 7v C Chegg Com


Letter Earrings Gold Alphabet Earrings A B C D E F Etsy In Letter Earrings Gold Earrings Initial Earrings


Initial Letter J U Vector Photo Free Trial Bigstock


Solved Given The Vectors V And U Answer A Through D Be Chegg Com


Answered Consider The Function F X Y 3 2 V Bartleby


Answered Let U 4 5 And V 10 8 A Bartleby


The New Annual Army List Militia List And Yeomanry Cavalry List U N In M In N C Vo M A In Loo O O Mo T Gt


Home Furniture Diy Other Home Decor Galvanized Letter A B C D E F G H I J K L M N O P Q R S T U V W X Y Z Bortexgroup Com


Vectors Worksheet1 Euclidean Vector Force


J A N W S W H A A N S L N X Lwin V C J A E X A I H B A L N J A H K A I X C L K U N N Mv H X G A N F X


Solved Work On These Questions Show All Your Work And If Chegg Com


Home Furniture Diy Other Home Decor Galvanized Letter A B C D E F G H I J K L M N O P Q R S T U V W X Y Z Bortexgroup Com


What Does Lash Curl Mean J B D U L C Curl Lashes Mademoiselle Lash


Post Modern Portfolio Theory For Information Retrieval


T U ʐ F Z B V


V Wikipedia


Solved 1 Let U 4i 3j And V I J Find U 5v A 9i 2j B 9 Chegg Com


Answered A U 2i 2j K V I K B U 2i Bartleby


Typo A B C D E F G H I J K L M N O


Given Vectors U And V Find A 7u B 7u 6v C V Hu U 9i V 3i Homeworklib


Library Explorer S Passport Activities Ppt Download


Bifurcation Diagrams Of Ju 0 J A B And Jv 0 J C D Versus Dnth 0 Download Scientific Diagram


Typo A B C D E F G H I J K L M N O P Q R S T U V W X Y Z 3d Neon Fonts Modern Alphabet


Consider The Parallelepiped With Adjacent Edges U 3i 2j K V I J 2k W I 3j 3k A Find The Volume B Find The Area Of The Face Determined By U And W C Find The Angle Between U And


Solved Ifa V O G U R T And U A B C D E F G H Chegg Com


A B C D E F G H I J K L M N O P Q R S T U V W X Y Z Galvanized Letter


Typo A B C D E F G H I J K L M N O


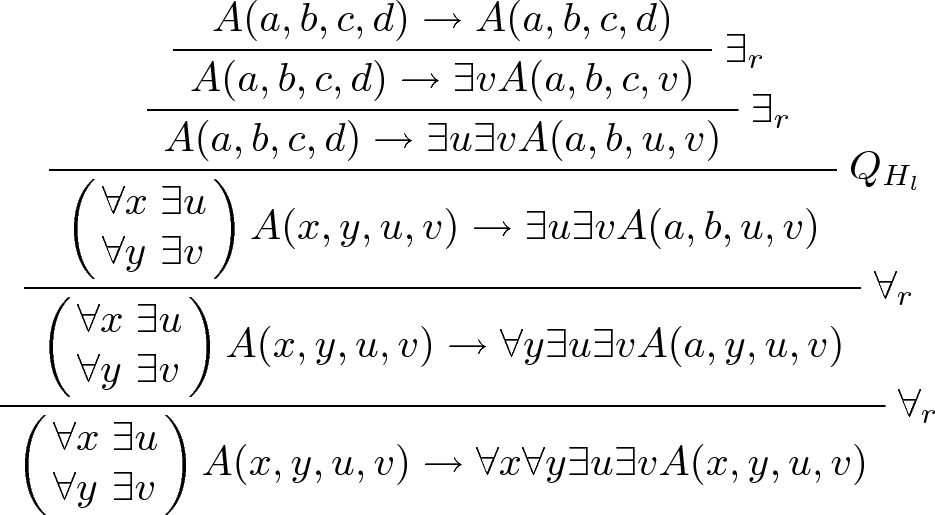
A Globally Sound Analytic Calculus For Henkin Quantifiers Springerlink


U Cu Ju 40 U In The Circuit Shown In Figure C 6 Uf The Charge Stored In Capacitor Of Capacity Cis 10 V 2v A Zero C 40 Uc B 90 Uc D 60 Uc


Vectors And The Geometry Of Space Monografias Com


1 Vytah


Solved Given The Universal Set U A B C D E F G Chegg Com


Math 2443 Extra List Of Formulae List Of Formulae The Following Are Provided Studocu


A Manual Of Zoology J U G Quot W 5 E Cj1 To 1 A Quot 3 M 2 3 A P Ij R Gt C R 7 Quot C M Rt B J K E E C


Conference Schedule Valdosta State University


Solved Find U Xv V Xu And V X V U I J V J K A Chegg Com


How To Create A Universal Human Language Za Blgarskiya Ezik


Solved Prove That I J K P Q R 1 2 3 Pqr Pqr Chegg Com


Initial Letter J U C V Stock Vector Royalty Free


コメント
コメントを投稿