V[gwA J[ t 254636
List Of The Delegates To The Charleston Convention Of The Democratic Party Broadsides From The Colonial Era To The Present Uofsc Digital Collections
V[gwA J[ t
V[gwA J[ t-


The Messenger Vol 38 No 8 By Ur Scholarship Repository Issuu


Everton V Arsenal As It Happened Besoccer


Tottenham V Huddersfield As It Happened Besoccer


United States Committee On Large Dams Project Development Engineers Conference Palmer Delong Collection Usu Digital Collections


Clipping From The Anniston Star Newspapers Com


Replace Power Supply For Czjutai Jt Dc3 5v1 5w E1 3 5v 1 5w Christmas Lighting Ebay


The Messenger Vol 37 No 4 By Ur Scholarship Repository Issuu


Divan Lt I R F J J Jjl J U Ix 1 J J S J Gt W V C Y J J T Jul L J Y F J Vb G J 3ix J Ii Gt Hdiil J T


The Messenger Vol 38 No 8 By Ur Scholarship Repository Issuu


Army List H V T J A J A I J B P Visct J B J P F Hon J R J P H Hon R R G Hon K P T


The Tracings Volume 06 Number 02 Summer 1987 Page 38 The Portal To Texas History


Page 054 Archives Ok Gov Oklahoma Digital Prairie Documents Images And Information


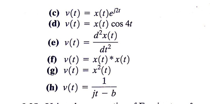
Solved D O Ad 3 24 A Continuous Time Signal X T Has Chegg Com


Page 21 Family Records Collection North Carolina Digital Collections


The Lotus Irls Leavisters Pharmacy Two Blocks From Peace Prescriptions Our Specialty Candies And Cold Drinksall The Year Thomas O Leavister Proprietor 7 Il rili Person Street U H M W


Index Of Authors Proceedings Of The Nutrition Society Cambridge Core


List Of The Delegates To The Charleston Convention Of The Democratic Party Broadsides From The Colonial Era To The Present Uofsc Digital Collections


1 Vytah


Usaf Pre Flight Class C 18 October 1956 From Wilkes


Phonetics The Sounds Of Language Ppt Download


Army List D P L T Le B B M B N W E R G H M P H T Qr Mr J Art J C A Sir


1 Q A Z 2 W S X 3 E D C 4 R F V 5 T G B 6 Y H N Q A W S X 7 U J M A U J


Definition Weighted Graph A Weighted Graph Is A Chegg Com


Army List G 242 F P J Q Army Bl V R Art 8 F W 466 G H 1213a G H Ret Pay 336 G S M H D H B H M J J B J L J S


Army List T T H V H W Wt Off Ret W Ret I M S W A 1331 780 1 2148 1604 44 491 1574 L Gt 28c 134


I Face Haber Aj Wy W Vg W For L 1 2 N Proof Chegg Com


Nov1951 By Trinity College Digital Repository Issuu


1987 19 Directory Of Oklahoma Part 1 Pages I 222 148 Oklahoma Almanacs Oklahoma Digital Prairie Documents Images And Information


Bound Bound And Bound Free Fluorescence From The A 1 Sigma U State To The X 1 Sigma G States In Na 2


Fn Series 3 3v Datasheet By Diodes Incorporated Digi Key Electronics


Fits 98 05 V W J Etta G Olf G Ti 1 8t Fmic High Performance Intercooler Kit Aliexpress


Empirecall St Paul S Church Of England Honour Roll


Solved 16 3 Points If W F G T Cost T Sint And Chegg Com


Texas Almanac And State Industrial Guide For 1911 With Map Page 80 The Portal To Texas History


Vod J Vg Von O O Vop Rd Rd Vip Vin Vi Vi Vb Iss V Chegg Com


Jt Sprockets Front Sprocket Jtf1447 14rb


Papers Past Newspapers Horowhenua Chronicle 2 July 1918 Page 4 Advertisements Column 5


Asme Bpvc Viii Espanol Pdf Pdf Txt


Xenikos Presents Promising New Data From Expanded Access Program Eap Using T Guard To Treat Steroid Refractory Acute Gvhd At Ash Annual Meeting Xenikos Resetting The Immune System


1990 Archives Page 3 Of 34 Berea College


Society Officers Ann Arbor District Library


Palladium 1000 G Ml 0 1 W V Baker Instra Analyzed Reagent J T Baker Fisher Scientific


Clipping From Harper Sentinel Newspapers Com


File 1933 Vatc Futurity Stakes Racebook P2 Jpg Wikipedia


Roster


Papers Past Newspapers Horowhenua Chronicle 14 November 1918 For Home And Country


1981 268 1 Program


Kwduvi W Ww Ruvj Kvm T Wkk Cwiw


A Selection Of Scots Songs Harmonized Improved With Simple And Adapted Graces W P V Ji 4 6 1 7 3 C H 3 8 1 I


Rockety I 1944 Image 8 Rockety I Yearbooks Augustana College Carli Digital Collections


V G Quotes Top 9 Quotes About V G From Famous Authors


Index To Volume 17 Cleveland Clinic Journal Of Medicine


Solved Ifa V O G U R T And U A B C D E F G H Chegg Com


Page Turner


コメント
コメントを投稿